দেশ টেলিভিশন লিমিটেড, কর্ণফুলী মিডিয়া পয়েন্ট, ৪২, শহীদ সাংবাদিক সেলিনা পারভীন সড়ক, মালিবাগ, ঢাকা-১২১৭, বাংলাদেশ।
টেলিফোন: +৮৮ (০২) ৮৩৩২৯৫৮, ৮৩৩২৯২২ ফ্যাক্স: +৮৮ (০২) ৮৩৩২৯৮১ মেইল: [email protected]

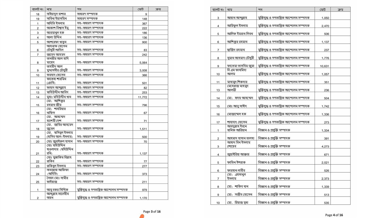
ঢাকা বিশ্ববিদ্যালয় কেন্দ্রীয় ছাত্র সংসদ (ডাকসু) নির্বাচনে ভিপি পদে ছাত্রশিবির সমর্থিত প্রার্থী মো. আবু সাদিক (সাদিক কায়েম) এবং জিএস পদে এস এম ফরহাদ ও এজিএস পদে মহিউদ্দিন খান জয় পেয়েছেন।
বুধবার (১০ সেপ্টেম্বর) সকাল সাড়ে ৮টার পর নওয়াব আলী চৌধুরী সিনেট ভবনে এই ফল ঘোষণা শুরু হয়েছে।
ঘোষিত ফলে ভিপি পদে শিবির সমর্থিত সাদিক কায়েম, জিএস পদে ফরহাদ ও এজিএস পদে মহিউদ্দীন নির্বাচিত হয়েছেন।
ভিপি পদে সাদিক কায়েম ১৪০৪২, আবিদ ৫৭০৮, স্বতন্ত্র প্রার্থী উমামা ফাতেমা ২,৫৪৯টি, বৈষম্যবিরোধী শিক্ষার্থী সংসদের প্রার্থী আব্দুল কাদের ৬৬৮টি, স্বতন্ত্র প্রার্থী শামীম হোসেন ১৮১৫টি ভোট পেয়েছেন।
জিএস পদে এস এম ফরহাদ ১০ হাজার ৭৯৪, শেখ তানভীর বারী হামিম ৫২৮৩, বৈষম্যবিরোধী শিক্ষার্থী সংসদের প্রার্থী আবু বাকের মজুমদার ৮৪৫, প্রতিরোধ পর্ষদের প্যানেলের মেঘমল্লার বসু ৪৬৪৫ ভোট পেয়েছেন।
আর এজিএস পদে মহিউদ্দীন খান ১১৭৭২ আর ছাত্রদল সমর্থিত তানভীর আল হাদী মায়েদ পেয়েছেন ৫০৬৪ ভোট পেয়েছেন।
মঙ্গলবার (৯ সেপ্টেম্বর) দিবাগত রাত ১টা ৫০ মিনিটে হলগুলোর ফলাফল ঘোষণা শুরু হয়। সবশেষ আজ বুধবার সকাল ৬টার দিকে ফজিলাতুন্নেসা মুজিব হলের ফলাফল ঘোষণার মধ্য দিয়ে তা শেষ হয়।
কোন হলে কে কত ভোট পেলেন:








অমর একুশে হলে কেন্দ্রীয় সংসদে ভিপি পদে ছাত্রদল সমর্থিত আবিদুল ইসলাম ১৪১ ও ছাত্রশিবির সমর্থিত সাদিক কায়েম ৬৪৪ ও স্বতন্ত্র শিক্ষার্থী ঐক্য প্যানেলের উমামা ফাতেমা ৯০ ভোট পেয়েছেন।
সুফিয়া কামাল হলে কেন্দ্রীয় সংসদে ভিপি পদে ছাত্রদল সমর্থিত আবিদুল ইসলাম ৪২৩ ও ছাত্রশিবির সমর্থিত সাদিক কায়েম ১২৭০ ও স্বতন্ত্র শিক্ষার্থী ঐক্য প্যানেলের উমামা ফাতেমা ৫৪৭ ভোট পেয়েছেন।
এদিকে, ফজলুল হক হলে সাদেক কায়েম ৮৪১, আবিদ ১৮১ ভোট পেয়েছেন। আর জিএস পদে শিবির সমর্থিত ফরহাদ ৫৮৯, ছাত্রদল সমর্থিত হামীম ৫৮৯ ও বৈষম্যবিরোধী ছাত্রসংসদ প্যানেলের আবু বাকের মজুমদার ৩৪১টি ভোট পেয়েছেন।
শহিদুল্লাহ হলে সাদেক কায়েম ৯৬৬ ও আবিদ ১৯৯ ভোট পেয়েছেন। জিএস পদে ফরহাদ ৭৭৩ ও হামীম ২৪৯ ভোট পেয়েছেন।
শামসুন নাহার হলে সাদিক কায়েম ১১১৪, আবিদ ৪৩৪, উমামা ফাতেমা ৪০৩ ভোট পেয়েছেন।
তবে জগন্নাথ হলে ভিপি পদে আবিদ ও জিএস পদে বাম সমর্থিত মেঘমল্লার বসু এগিয়ে রয়েছেন। এই হলে আবিদ ১২৭৬, সাদিক কায়েম ১০, উমামা ফাতেমা ২৭৮টি ভোট পেয়েছেন। আর জিএস পদে মেঘমল্লার ১১৭০, এসএম ফরহাদ ৫ ও হামিম ৩৯৮ ভোট পেয়েছেন।
অন্যদিকে, জহুরুল হক হলে আবিদ ৩১৪, সাদিক কায়েম ৮৯৬ ভোট পেয়েছেন। জিএস পদে ফরহাদ ৬৭০, হামীম ৪০৯টি ভোট পেয়েছেন।
রোকেয়া হলে আবিদ ৫৭৫ ও সাদিক কায়েম ১৪৭২ ভোট পেয়েছেন। জিএস পদে ফরহাদ ১১২০, হামীম ৪৪৭, বাকের ২৪১, মেঘমল্লার বসু ৭৮০ ভোট পেয়েছেন।
সলিমুল্লাহ মুসলিম হলে ভিপি পদে সাদিক ৩০৩, আবিদ ১১০, উমামা ৩৪ ভোট পেয়েছেন। জিএস পদে ফরহাদ ২৩৭, হামীম ১২৪ ভোট পেয়েছেন।
স্যার এফ রহমান হলে সাদিক ৬০২, আবিদ ১৮৬, উমামা ৭৯ ভোট পেয়েছেন। জিএস পদে ফরহাদ ৪৮৮ ও হামীম ২৪৫ ভোট পেয়েছেন।
বিজয় একাত্তর হলে সাদিক ৯৯১, আবিদ ২৭৮, উমামা ১০৪ ভোট পেয়েছেন। আর জিএস পদে ফরহাদ ৭৭৯, হামীম ৪৪২ ভোট পেয়েছেন।
বিজয় একাত্তর হলে সাদিক ৬৩৩, আবিদ ২২১ ভোট পেয়েছেন। আর জিএস পদে ফরহাদ ৫০১, হামিম ২৭১, মেঘমল্লার ১০৬ ভোট পেয়েছেন।
জসিমউদ্দিন হলে আবিদ ১৮৭, সাদিক ৬৪৭, উমামা ৬২ ভোট পেয়েছেন। জিএস পদে ফরহাদ ৫৪০, হামীম ২৫৫ ও মেঘমল্লার বসু ৮১ ভোট পেয়েছেন।
শেখ মুজিব হলে সাদিক ৮৪২, আবিদ ২৩৮, উমামা ৬৯ ভোট পেয়েছেন। জিএস পদে ফরহাদ ৬৮৩, হামীম ৩০৭ ও মেঘমল্লার বসু ১২৪ ভোট পেয়েছেন।
মাস্টারদা সূর্যসেন হলে আবিদ ২১০, সাদিক ৭৬৯, উমামা ৬৪ ভোট পেয়েছেন। আর জিএস পদে ফরহাদ ৫৬৮, হামীম ২৮৫ ও মেঘমল্লার বসু ১০৮ ভোট পেয়েছেন।
জিয়া হল সাদিক ৬৭৪, আবিদ ২৪৮, উমামা ১৫১ ভোট পেয়েছেন। জিএস পদে ফরহাদ ৫৪৪, হামীম ৩৩৪, মেঘমল্লার বসু ১৭৬ ভোট পেয়েছেন।
কুয়েত মৈত্রী হলে সাদিক কায়েম ৬২৬, আবিদ ২১০, উমামা ২২৬ ভোট পেয়েছেন।
ফজিলাতুন্নেসা মুজিব হলে ৭৪২, আবিদ ২২৭, উমামা ২২৩ ভোট পেয়েছেন।
কে